本帖最后由 华工考研 于 2023-5-31 10:05 编辑
小编在这里就如何高效复习考研数学,提一些建议,希望对大家有所帮助。
01 避免基础不牢 从近十年考研数学来看,试卷中60%- 80%的题目都是基础题目,真正需要冥思苦想的偏题、难题只是少数。很多同学往往不重视基础的学习,反而只是忙着做题。我们千万不要为做题而做题,要在做题时巩固基础,提高自己对知识点更高层次上的把握和运用。
02 重视错题和总结归纳 重点选取之前做过的但做错的题目去看。选择题钻研到每一个选项,弄懂每一个选项为什么对,为什么不对;每学完一个知识点一定要进行总结,把知识点的精华部分提炼出来,写在笔记本上,对不太懂的知识点以及考试常考的知识点要进行详细的记录,在以后复习过程中,直接看笔记本即可。对知识点的整理、总结,可帮助大家进一步加深对知识点的理解、掌握。
03 强化计算能力 计算能力是考研数学的几大考点之一,大部分同学都忙着复习其他,内容和刷题,却忘了锻炼计算能力。结果就是,今年的题目貌似挺简单啊,但是计算量超级大,导致很多人虽然有思路、有解题方法,却因计算量太大没时间答题或者计算难度太大,算不出来或屡屡算错。 因此,在考研数学最后的几个月时间,一定要多练练计算量大的考卷和题目,平时计算能力锻炼出来了,考试的时候遇到计算量大的题目才不会明明会做却不得不放弃。
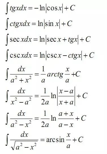
04 牢记数学公式 很多时候数学就是套公式,所以大家对常考的数学公式一定要牢记在心里。 今天车车在这里给大家整理了常考的数学公式,大家在学余可以多拿出来看看哦~
1 导数公式
2 基本积分表公式
3 三角函数的有理式积分公式

4 初等函数公式
5 极限公式
6 布莱尼兹公式
7 常用麦克劳林公式
8 常用泰勒公式
9 重积分极其应用
10 微积分在几何上的应用
(内容源于网络,如有侵权请联系删除)
|